
GD30K2-12型轴流通风机可作为管道的一部分联接于管道中间,适用于化工,造纸及其它工厂输送六十度以下的空气和各种对电机有害的气体。
本风机按其叶轮直径共分NO4,5,6,7,8,9,10,11.2.等八个机号,叶片数有4片,6 片两种叶片安装角度可制成 15度,20度,25度,30度 四种。
电动机安装在风筒上部,有可调的电机座板支承电机,并能调节中心距。全部采用三角皮带传动。轴承箱固定在风筒中央密封的防护筒内与介质隔离。
本型风机一般采用钢材焊接制成,如果输送含有腐蚀性,易燃性气体时可在订货时提出要求,特殊制作。
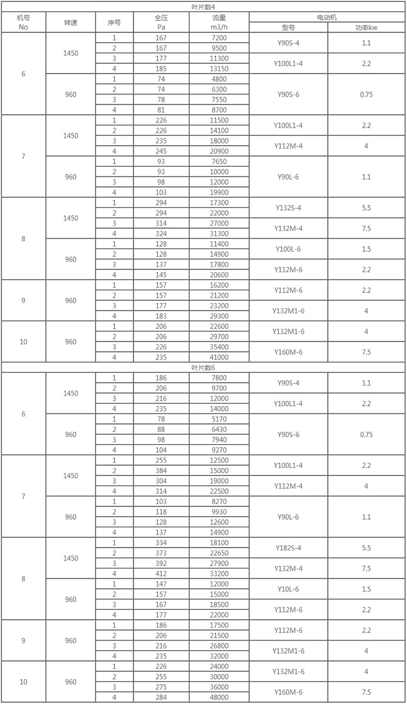
该产品详细性能参数如下:
GD30K2-12轴流通风机性能规范表


1919652619