
特点:
T40I型轴流通风机系在原T30型的基础上进行改造、设计的,空气效率从原来的69%提高到84%,是一种结构简单,噪声小的低压轴流通风机。输送的气体必须是清洁、干燥,不得混有杂质和过多的水蒸汽及腐蚀性气体,其温度不得超过45度。
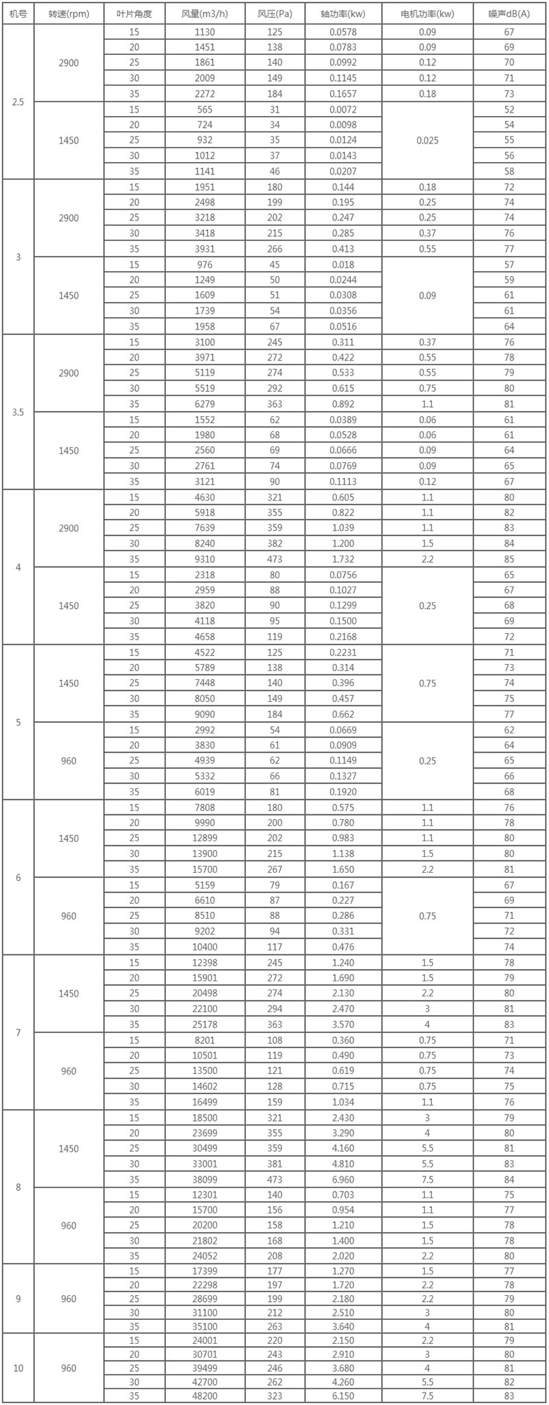
T40I系列轴流通风机性能参数表

1919652619

特点:
T40I型轴流通风机系在原T30型的基础上进行改造、设计的,空气效率从原来的69%提高到84%,是一种结构简单,噪声小的低压轴流通风机。输送的气体必须是清洁、干燥,不得混有杂质和过多的水蒸汽及腐蚀性气体,其温度不得超过45度。
T40I系列轴流通风机性能参数表
