
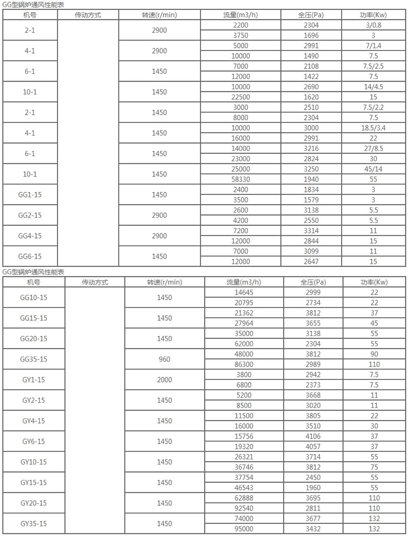
该风机是24610吨/小时工业锅炉配套的专用通引风机,与原配风机相比,我的显著特点是其风量风压与锅炉要求更匹配,效率高,性能曲线更平坦,高效率宽广。由于风压高,有利于锅炉的消烟除尘,采用特殊设计的双速电机,可使其功率与风机在不同转速时的功率要求相匹配,用户可根据锅炉运行负荷大小,选择不同的转速,节能效果十分显著。
通风引风机做成单吸入,可制成左旋和右旋两种出风口角度可制成左右0°、45°、90°、135°、180°、225°等不同的出口方向,其传动方式为A式和D式两种,其结构主要有叶轮、机壳、进风口、支架传动组、调节门等组成特别应该强调的是通风机上的叶片有弯曲叶片和直叶片两种。


1919652619